MOS管四個區域詳解
下面講述MOS管場效應管的四個區域:
1)可變電阻區(也稱非飽和區)
滿足Ucs》Ucs(th)(開啟電壓),uDs《UGs-Ucs(th),為圖中預夾斷軌跡左邊的區域其溝道開啟。在該區域UDs值較小,溝道電阻基本上僅受UGs控制。當uGs一定時,ip與uDs成線性關系,該區域近似為一組直線。這時場效管D、S間相當于一個受電壓UGS控制的可變電阻。
2)恒流區(也稱飽和區、放大區、有源區)
滿足Ucs≥Ucs(h)且Ubs≥UcsUssth),為圖中預夾斷軌跡右邊、但尚未擊穿的區域,在該區域內,當uGs一定時,ib幾乎不隨UDs而變化,呈恒流特性。i僅受UGs控制,這時場效應管D、S間相當于一個受電壓uGs控制的電流源。場效應管用于放大電路時,一般就工作在該區域,所以也稱為放大區。
3)夾斷區(也稱截止區)
夾斷區(也稱截止區)滿足ucs《Ues(th)為圖中靠近橫軸的區域,其溝道被全部夾斷,稱為全夾斷,io=0,管子不工作。
4)擊穿區位
擊穿區位于圖中右邊的區域。隨著UDs的不斷增大,pn結因承受太大的反向電壓而擊穿,ip急劇增加。工作時應避免管子工作在擊穿區。
轉移特性曲線可以從輸出特性曲線。上用作圖的方法求得。例如在下圖( a)中作Ubs=6V的垂直線,將其與各條曲線的交點對應的i、Us值在ib- Uss 坐標中連成曲線,即得到轉移性曲線,如圖下(b)所示。


mos場效應管的參數
場效應管的參數很多,包括直流參數、交流參數和極限參數,但普通運用時只需關注以下主要參數:飽和漏源電流IDSS夾斷電壓Up,(結型管和耗盡型絕緣柵管,或開啟電壓UT(加強型絕緣柵管)、跨導gm、漏源擊穿電壓BUDS、最大耗散功率PDSM和最大漏源電流IDSM。
(1)飽和漏源電流
飽和漏源電流IDSS是指結型或耗盡型絕緣柵場效應管中,柵極電壓UGS=0時的漏源電流。
(2)夾斷電壓
夾斷電壓UP是指結型或耗盡型絕緣柵場效應管中,使漏源間剛截止時的柵極電壓。如同4-25所示為N溝道管的UGS一ID曲線,可明白看出IDSS和UP的意義。如圖4-26所示為P溝道管的UGS-ID曲線。


(3)開啟電壓
開啟電壓UT是指加強型絕緣柵場效應管中,使漏源間剛導通時的柵極電壓。如圖4-27所示為N溝道管的UGS-ID曲線,可明白看出UT的意義。如圖4-28所示為P溝道管的UGS-ID曲線。


(4)跨導
跨導gm是表示柵源電壓UGS對漏極電流ID的控制才能,即漏極電流ID變化量與柵源電壓UGS變化量的比值。9m是權衡場效應管放大才能的重要參數。(5)漏源擊穿電壓
漏源擊穿電壓BUDS是指柵源電壓UGS一定時,場效應管正常工作所能接受的最大漏源電壓。這是一項極限參數,加在場效應管上的工作電壓必需小于BUDS。
(6)最大耗散功率
最大耗散功率PDSM也是—項極限參數,是指場效應管性能不變壞時所允許的最大漏源耗散功率。運用時場效應管實踐功耗應小于PDSM并留有—定余量。
(7)最大漏源電流
最大漏源電流IDSM是另一項極限參數,是指場效應管正常工作時,漏源間所允許經過的最大電流。場效應管的工作電流不應超越IDSM。
如何判斷MOS管場效應管工作在那個區域
(一)溝道長度修正
當V_DS>V_GS-V_TH時,溝道中出現夾斷效應,溝道的長度對略微減小。很多場景我們可以忽略這個長度的變化,但是當精度要求比較高的時候,我們就需要把溝道長度的變化考慮進來??聪旅媸阶?br />


因為溝道的有效長度L會隨著V_DS的增大而略微減小,所以I_D會隨著V_DS的增大而略微增大。我們可以用下面式子來表示I_D


這里如果不考慮溝道長度變化,V_A為無窮大,考慮溝道長度變化時,V_A為有限值。I_D隨V_DS的變化的伏安特性曲線為:


(二)MOSFET的結構和電學特性總結
1、MOSFET由金屬層-絕緣層-半導體基板三層結構組成?,F在絕大多數金屬層以多晶硅取代金屬作為其柵極材料,但是原理不變。絕緣層通常是二氧化硅。
2、MOSFET是對稱的,只有柵極是確定的,哪一端是源級,哪一端是漏極只有加載了電壓才能確定。對于NMOS來說,它靠電子導電,電子的“源泉”定義為源級。所以電壓低的一端是源級,電壓高的一端是漏極。(NMOS和PMOS的特點和區別下期詳細介紹)
3、溝道中電荷數量不是均勻分布的,靠近源級的一端電荷數量多,靠近漏極的一端電荷數量少。
4、當柵極電壓超過源級電壓V_TH時,溝道中就聚集了足夠多的電荷,只要源級和漏極有電壓差,在電壓的驅使下,這些電荷就能流動形成電流。
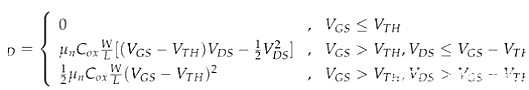
5、伏安特性曲線表達式:


① 當 V_GS<=V_TH時,稱為截止區,源級與漏極不導電。
② 當 V_GS>V_TH && V_DS<=V_GS-V_TH時,源級和漏極之間導電,I_D即和V_GS有關,又和V_DS有關,稱為三級區。(數字電路通常工作在三級區,關注我,后面會慢慢講到)
③ 當 V_GS>V_TH && V_DS>V_GS-V_TH時,源級和漏極之間導電,溝道中存在夾斷效應,I_D只和V_GS有關(在不考慮溝道長度變化的情況下),此時,MOSFET為一個受控電流源,受V_GS控制,此時稱為飽和區。
烜芯微專業制造二三極管,MOS管,20年,工廠直銷省20%,1500家電路電器生產企業選用,專業的工程師幫您穩定好每一批產品,如果您有遇到什么需要幫助解決的,可以點擊右邊的工程師,或者點擊銷售經理給您精準的報價以及產品介紹
烜芯微專業制造二三極管,MOS管,20年,工廠直銷省20%,1500家電路電器生產企業選用,專業的工程師幫您穩定好每一批產品,如果您有遇到什么需要幫助解決的,可以點擊右邊的工程師,或者點擊銷售經理給您精準的報價以及產品介紹

